Which of the Following Best Describes the Heavy Vehicle Formula
Infographic What Your Choice Of Car Says About Your Personality Sayings Infographic Personality
So Many Model A Hot Rods Are Refitted With Deuce Grille Shells That It S Refreshing To See This Coupe Keep Its Ori Fast Sports Cars Hot Rods Sports Cars Luxury
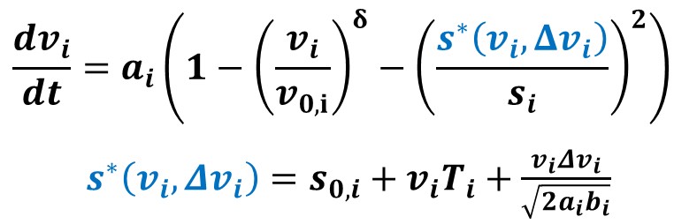
Simulating Traffic Flow In Python By Bilal Himite Towards Data Science
Speed Velocity And Acceleration Card Sort Sorting Cards Middle School Science Teacher Science Card Sorts
Rotary Engine 13b Tshirt Mazda Wankel Engine Rx7 Shirt Etsy Mens Sweatshirts Hoodie T Shirt Wankel Engine
This Bmw M1 Shark Concept Study Come From The Year 2080 Carscoops Bmw M1 Bmw Concept Car Design
Scalextric C2418 Williams Bmw F1 Juan Pablo Montoya 1 32 Juan Pablo Montoya Bmw Bodywork
Automobilista Formula Truck Dlc Build V1 20 Released Bsimracing Trucks Vintage Trucks Racing Simulator
Personal Pod Concept Cars Vehicle Design Car Design
Find The Minimum Sample Size N Needed To Estimate Mum For The Given Values Of C Sigmas And E In 2022 Estimate The Minimum Sample
Life Of A Car Lease Infographic Leaseguide Com Car Lease Life Car Lease
Quality Not Quantity Classroom Images Innovation Quality
Pin On Senfineco German Product Placment
Baby Shower Candy Bar Game Blue Elephant Baby Shower Candy Bar Elephant Baby Shower Boy Elephant Baby Shower Theme
F1 Teams Weigh Design Options For Halos Canopies For Cars Cockpit Formula One Best Tyres
Charles Leclerc Win The Italiangp What A Race Acasanostra Describes Cl In 1 Word Credi Racing Ferrari Charles
Spt 350 Sq Ft Portable Air Conditioner White Wa P903e Best Buy Portable Air Conditioner Air Conditioner Air Conditioner With Heater



Comments
Post a Comment